Официальное опубликование правовых актов
ОФИЦИАЛЬНОЕ ОПУБЛИКОВАНИЕ
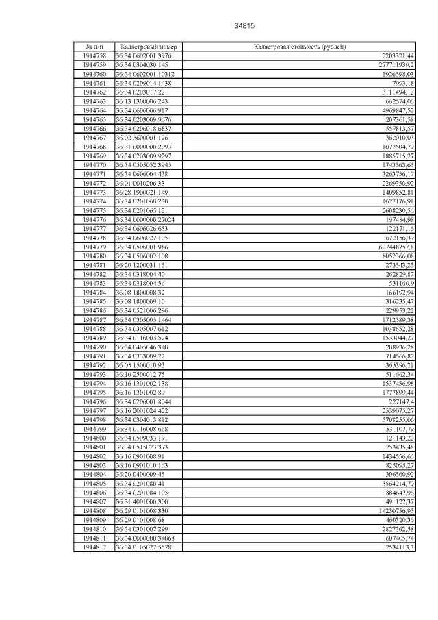
Приказ департамента имущественных и земельных отношений Воронежской области от 13.10.2021 № 2271
"Об утверждении результатов определения кадастровой стоимости объектов капитального строительства, расположенных на территории Воронежской области"
(Зарегистрирован 15.10.2021 № 948)
Номер опубликования: 3601202110270001
Дата опубликования: 27.10.2021
Страница №34887 из 35176:
Увеличить