Официальное опубликование правовых актов
ОФИЦИАЛЬНОЕ ОПУБЛИКОВАНИЕ
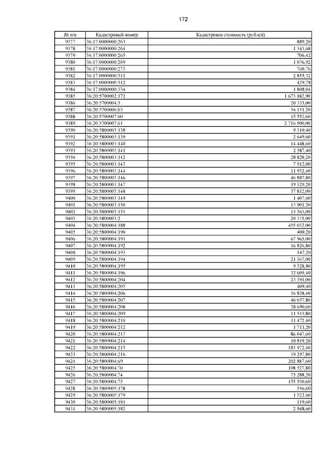
Приказ департамента имущественных и земельных отношений Воронежской области от 13.10.2021 № 2272
"Об утверждении результатов определения кадастровой стоимости земельных участков категории земель промышленности, энергетики, транспорта, связи, радиовещания, телевидения, информатики, земель для обеспечения космической деятельности, земель обороны, безопасности и земель иного специального назначения, расположенных на территории Воронежской области"
(Зарегистрирован 15.10.2021 № 949)
Номер опубликования: 3601202110200004
Дата опубликования: 20.10.2021
Страница №176 из 221:
Увеличить