Официальное опубликование правовых актов
ОФИЦИАЛЬНОЕ ОПУБЛИКОВАНИЕ
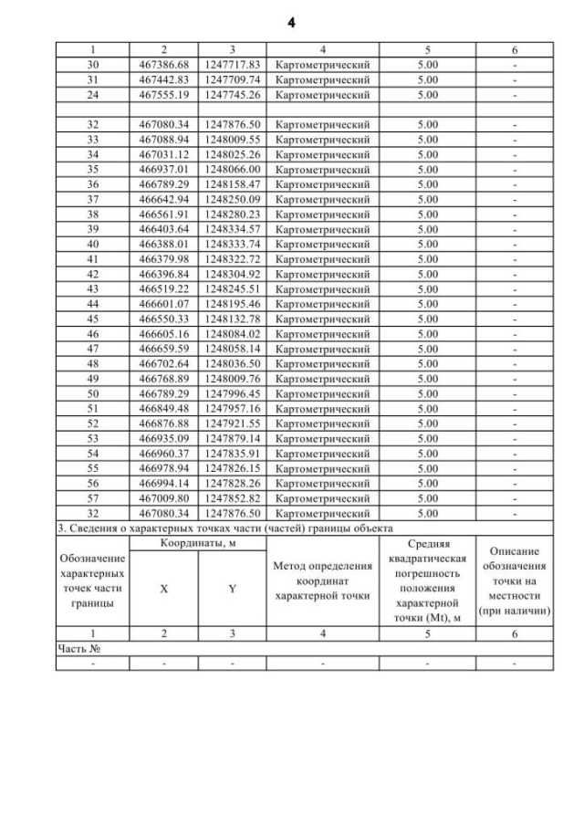
Приказ Департамента архитектуры и градостроительства Воронежской области от 17.09.2021 № 45-01-04/1038
"Об утверждении правил землепользования и застройки Скупопотуданского сельского поселения Нижнедевицкого муниципального района Воронежской области"
(Зарегистрирован 12.10.2021 № 929)
Номер опубликования: 3601202110180004
Дата опубликования: 18.10.2021
Страница №158 из 179:
Увеличить