Официальное опубликование правовых актов
ОФИЦИАЛЬНОЕ ОПУБЛИКОВАНИЕ
Приказ Департамента архитектуры и градостроительства Воронежской области от 17.09.2021 № 45-01-04/1037
"Об утверждении правил землепользования и застройки Филиппенковского сельского поселения Бутурлиновского муниципального района Воронежской области"
(Зарегистрирован 12.10.2021 № 930)
Номер опубликования: 3601202110180003
Дата опубликования: 18.10.2021
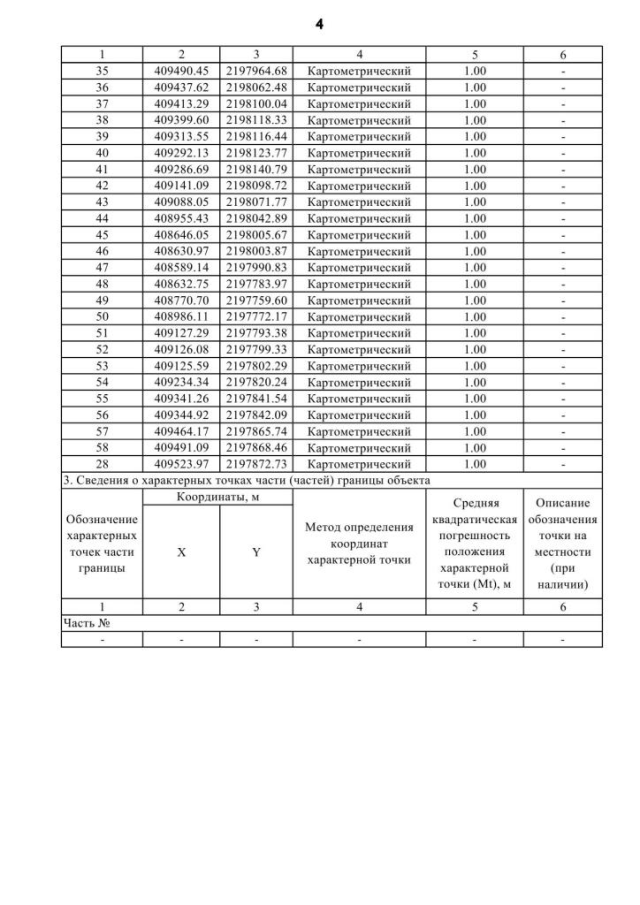
Страница №148 из 260:
Увеличить