Официальное опубликование правовых актов
ОФИЦИАЛЬНОЕ ОПУБЛИКОВАНИЕ
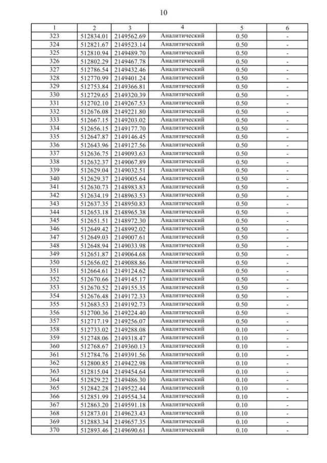
Приказ Департамента архитектуры и градостроительства Воронежской области от 17.09.2021 № 45-01-04/1040
"Об утверждении правил землепользования и застройки Росташевского сельского поселения Панинского муниципального района Воронежской области"
(Зарегистрирован 12.10.2021 № 928)
Номер опубликования: 3601202110130003
Дата опубликования: 13.10.2021
Страница №209 из 232:
Увеличить