Официальное опубликование правовых актов
ОФИЦИАЛЬНОЕ ОПУБЛИКОВАНИЕ
Приказ Департамента архитектуры и градостроительства Воронежской области от 10.09.2021 № 45-01-04/1027
"Об утверждении правил землепользования и застройки Новоживотинновского сельского поселения Рамонского муниципального района Воронежской области"
(Зарегистрирован 27.09.2021 № 894)
Номер опубликования: 3601202109290004
Дата опубликования: 29.09.2021
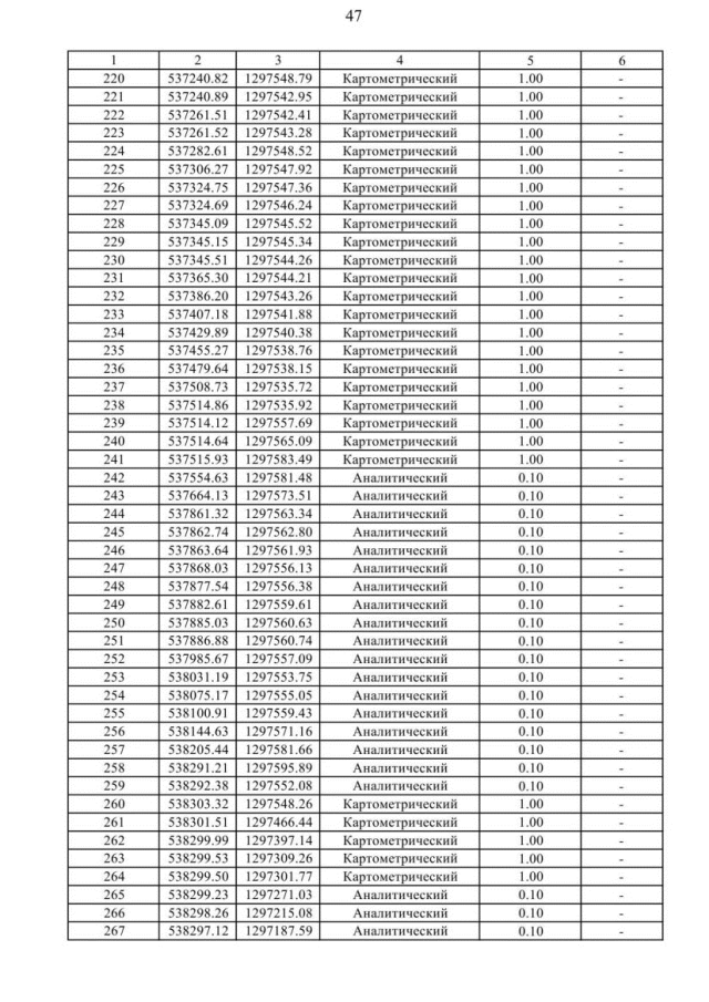
Страница №110 из 316:
Увеличить