Официальное опубликование правовых актов
ОФИЦИАЛЬНОЕ ОПУБЛИКОВАНИЕ
Приказ Департамента архитектуры и градостроительства Воронежской области от 01.09.2021 № 45-01-04/965
"Об утверждении правил землепользования и застройки Кантемировского городского поселения Кантемировского муниципального района Воронежской области"
(Зарегистрирован 08.09.2021 № 852)
Номер опубликования: 3601202109130004
Дата опубликования: 13.09.2021
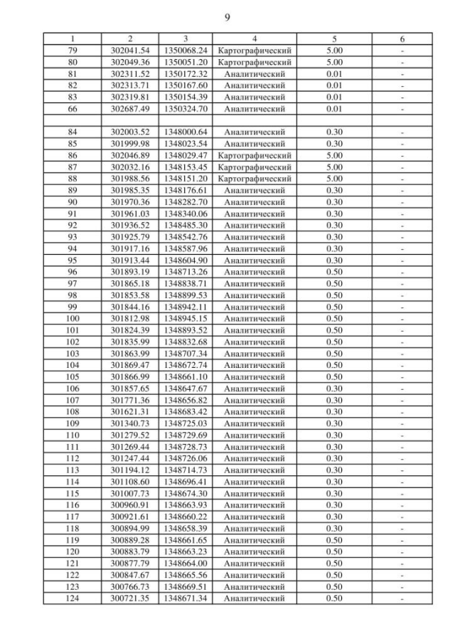
Страница №365 из 410:
Увеличить