Официальное опубликование правовых актов
ОФИЦИАЛЬНОЕ ОПУБЛИКОВАНИЕ
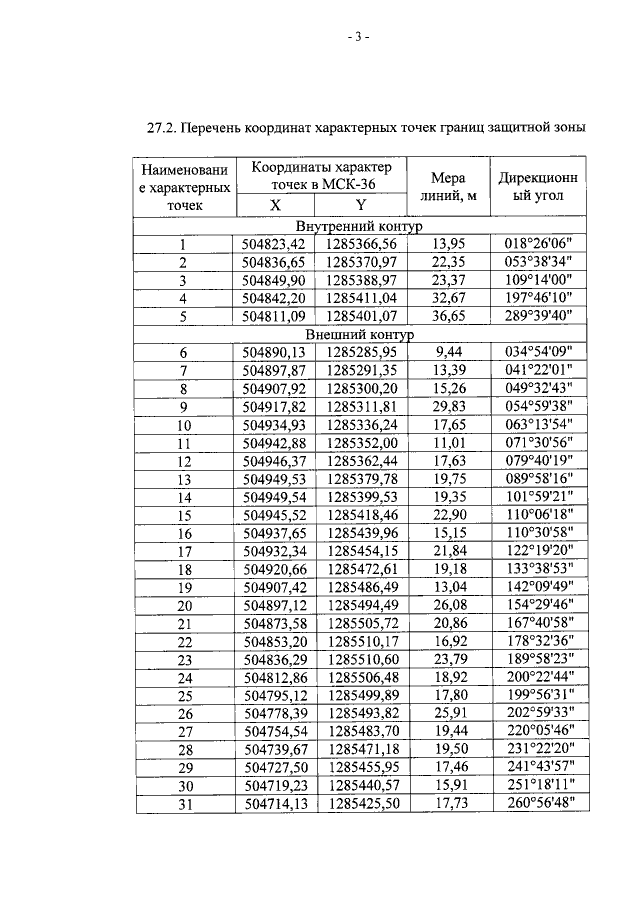
Приказ управления по охране объектов культурного наследия Воронежской области от 02.09.2021 № 71-01-07/358
"О внесении изменения в приказ управления по охране объектов культурного наследия Воронежской области от 28.11.2019 № 71-01-07/326"
(Зарегистрирован 08.09.2021 № 848)
Номер опубликования: 3601202109100003
Дата опубликования: 10.09.2021
Страница №3 из 4:
Увеличить