Официальное опубликование правовых актов
ОФИЦИАЛЬНОЕ ОПУБЛИКОВАНИЕ
Приказ Департамента архитектуры и градостроительства Воронежской области от 25.08.2021 № 45-01-04/950
"Об утверждении правил землепользования и застройки Нижнекарачанского сельского поселения Грибановского муниципального района Воронежской области"
(Зарегистрирован 07.09.2021 № 833)
Номер опубликования: 3601202109090002
Дата опубликования: 09.09.2021
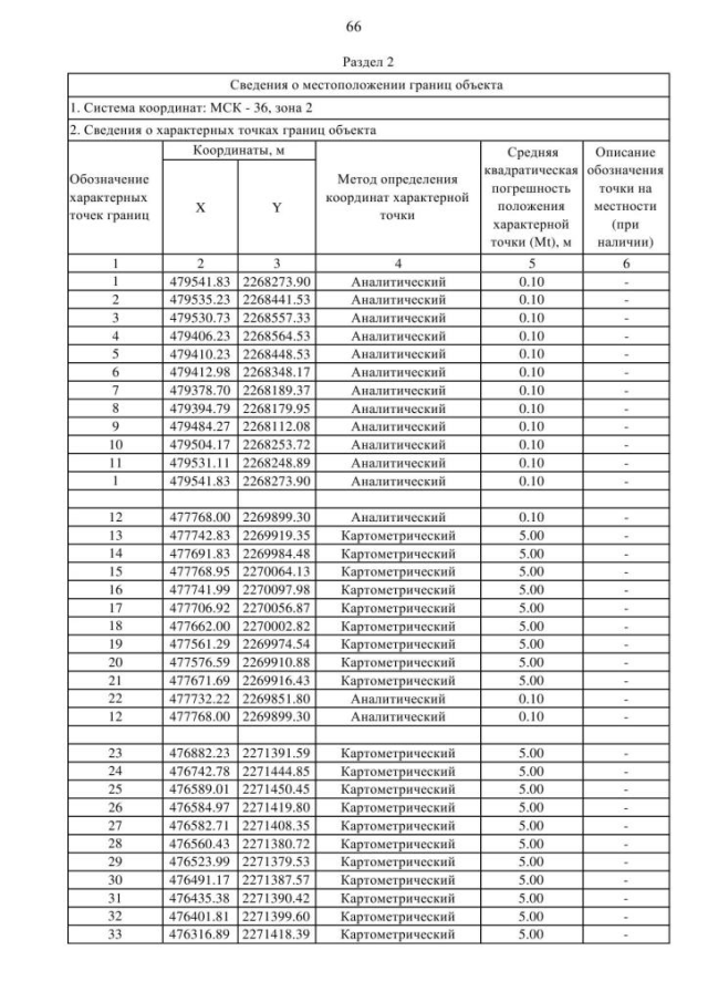
Страница №119 из 143:
Увеличить