Официальное опубликование правовых актов
ОФИЦИАЛЬНОЕ ОПУБЛИКОВАНИЕ
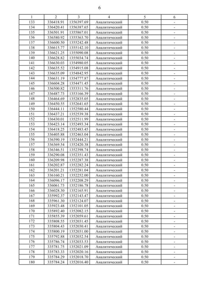
Приказ Департамента архитектуры и градостроительства Воронежской области от 25.08.2021 № 45-01-04/951
"Об утверждении правил землепользования и застройки Новокалитвенского сельского поселения Россошанского муниципального района Воронежской области"
(Зарегистрирован 02.09.2021 № 820)
Номер опубликования: 3601202109070003
Дата опубликования: 07.09.2021
Страница №279 из 324:
Увеличить