Официальное опубликование правовых актов
ОФИЦИАЛЬНОЕ ОПУБЛИКОВАНИЕ
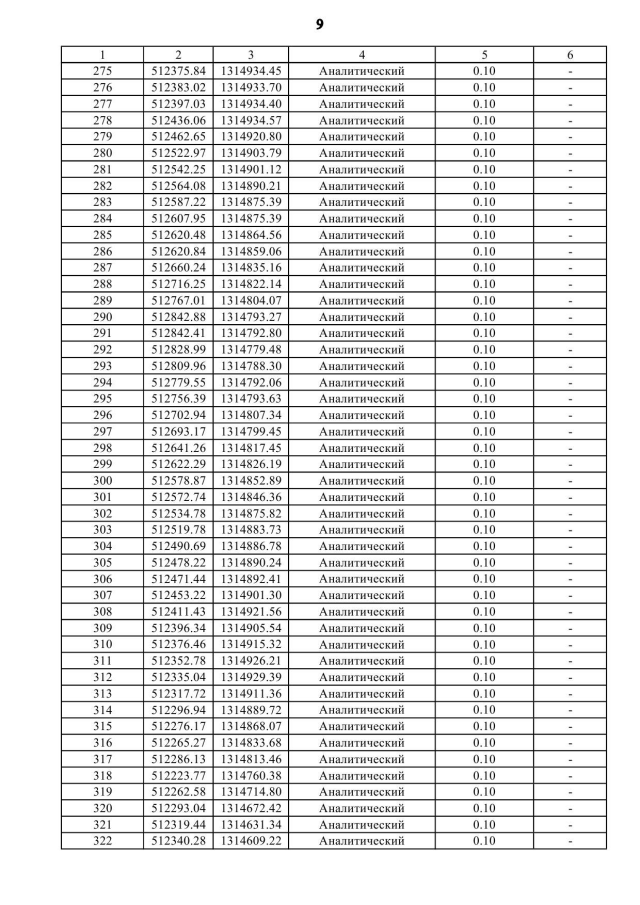
Приказ Департамента архитектуры и градостроительства Воронежской области от 30.07.2021 № 45-01-04/882
"Об утверждении правил землепользования и застройки Усманского 1-го сельского поселения Новоусманского муниципального района Воронежской области"
(Зарегистрирован 16.08.2021 № 772)
Номер опубликования: 3601202108200007
Дата опубликования: 20.08.2021
Страница №86 из 323:
Увеличить