Официальное опубликование правовых актов
ОФИЦИАЛЬНОЕ ОПУБЛИКОВАНИЕ
Приказ Департамента архитектуры и градостроительства Воронежской области от 04.08.2021 № 45-01-04/892
"О внесении изменений в правила землепользования и застройки Яменского сельского поселения Рамонского муниципального района Воронежской области"
(Зарегистрирован 16.08.2021 № 770)
Номер опубликования: 3601202108200002
Дата опубликования: 20.08.2021
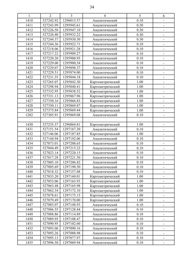
Страница №132 из 511:
Увеличить