Официальное опубликование правовых актов
ОФИЦИАЛЬНОЕ ОПУБЛИКОВАНИЕ
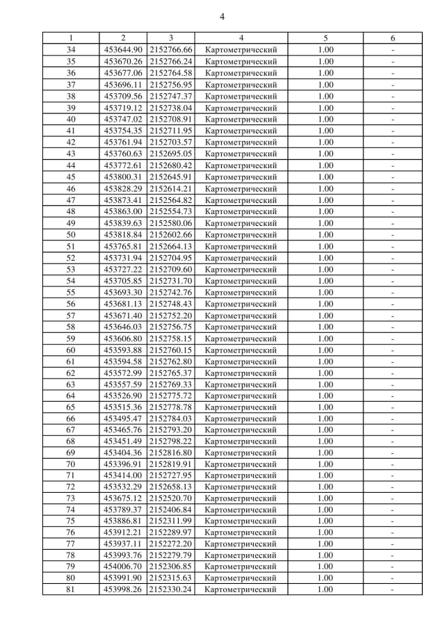
Приказ Департамента архитектуры и градостроительства Воронежской области от 27.07.2021 № 45-01-04/843
"Об утверждении правил землепользования и застройки городского поселения – город Бобров Бобровского муниципального района Воронежской области"
(Зарегистрирован 16.08.2021 № 771)
Номер опубликования: 3601202108190017
Дата опубликования: 19.08.2021
Страница №367 из 508:
Увеличить