Официальное опубликование правовых актов
ОФИЦИАЛЬНОЕ ОПУБЛИКОВАНИЕ
Приказ Департамента архитектуры и градостроительства Воронежской области от 29.07.2021 № 45-01-04/867
"Об утверждении правил землепользования и застройки Байчуровского сельского поселения Поворинского муниципального района Воронежской области"
(Зарегистрирован 16.08.2021 № 763)
Номер опубликования: 3601202108190013
Дата опубликования: 19.08.2021
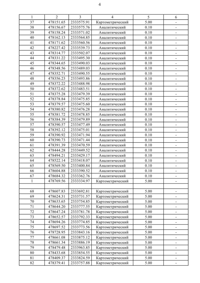
Страница №55 из 195:
Увеличить