Официальное опубликование правовых актов
ОФИЦИАЛЬНОЕ ОПУБЛИКОВАНИЕ
Приказ Департамента архитектуры и градостроительства Воронежской области от 04.08.2021 № 45-01-04/893
"О внесении изменений в правила землепользования и застройки Латненского городского поселения Семилукского муниципального района Воронежской области"
(Зарегистрирован 12.08.2021 № 740)
Номер опубликования: 3601202108170002
Дата опубликования: 17.08.2021
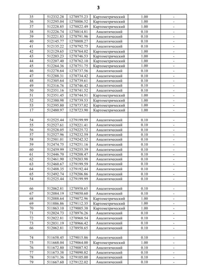
Страница №18 из 21:
Увеличить