Официальное опубликование правовых актов
ОФИЦИАЛЬНОЕ ОПУБЛИКОВАНИЕ
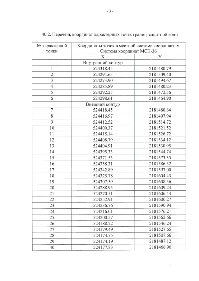
Приказ управления по охране объектов культурного наследия Воронежской области от 26.07.2021 № 71-01-07/278
"О внесении изменений в приказ управления по охране объектов культурного наследия Воронежской области от 19.11.2019 №71-01-07/298"
(Зарегистрирован 03.08.2021 № 711)
Номер опубликования: 3601202108060006
Дата опубликования: 06.08.2021
Страница №3 из 7:
Увеличить