Официальное опубликование правовых актов
ОФИЦИАЛЬНОЕ ОПУБЛИКОВАНИЕ
Приказ Департамента архитектуры и градостроительства Воронежской области от 05.07.2021 № 45-01-04/750
"Об утверждении правил землепользования и застройки Филоновского сельского поселения Богучарского муниципального района Воронежской области"
(Зарегистрирован 15.07.2021 № 649)
Номер опубликования: 3601202107230002
Дата опубликования: 23.07.2021
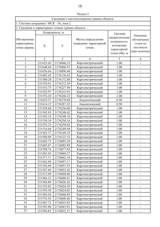
Страница №162 из 255:
Увеличить