Официальное опубликование правовых актов
ОФИЦИАЛЬНОЕ ОПУБЛИКОВАНИЕ
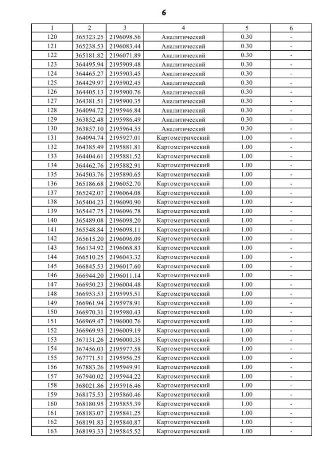
Приказ Департамента архитектуры и градостроительства Воронежской области от 11.06.2021 № 45-01-04/676
"Об утверждении правил землепользования и застройки Хрещатовского сельского поселения Калачеевского муниципального района Воронежской области"
(Зарегистрирован 29.06.2021 № 600)
Номер опубликования: 3601202107080005
Дата опубликования: 08.07.2021
Страница №237 из 251:
Увеличить