Официальное опубликование правовых актов
ОФИЦИАЛЬНОЕ ОПУБЛИКОВАНИЕ
Приказ Департамента архитектуры и градостроительства Воронежской области от 09.06.2021 № 45-01-04/667
"Об утверждении правил землепользования и застройки Дракинского сельского поселения Лискинского муниципального района Воронежской области"
(Зарегистрирован 29.06.2021 № 602)
Номер опубликования: 3601202107080004
Дата опубликования: 08.07.2021
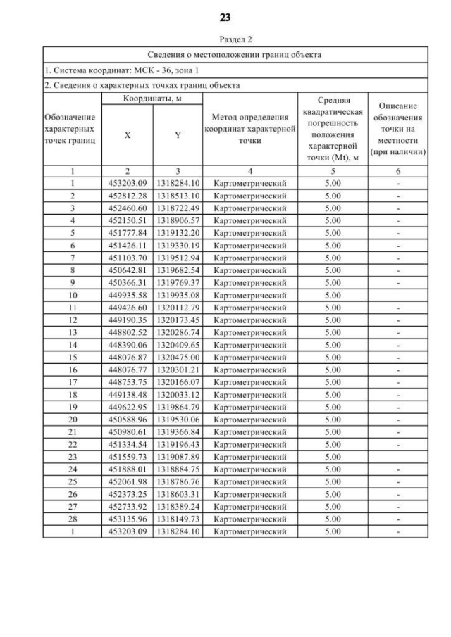
Страница №124 из 132:
Увеличить