Официальное опубликование правовых актов
ОФИЦИАЛЬНОЕ ОПУБЛИКОВАНИЕ
Приказ Департамента архитектуры и градостроительства Воронежской области от 11.06.2021 № 45-01-04/678
"Об утверждении правил землепользования и застройки Щучинско-Песковского сельского поселения Эртильского муниципального района Воронежской области"
(Зарегистрирован 29.06.2021 № 599)
Номер опубликования: 3601202107080002
Дата опубликования: 08.07.2021
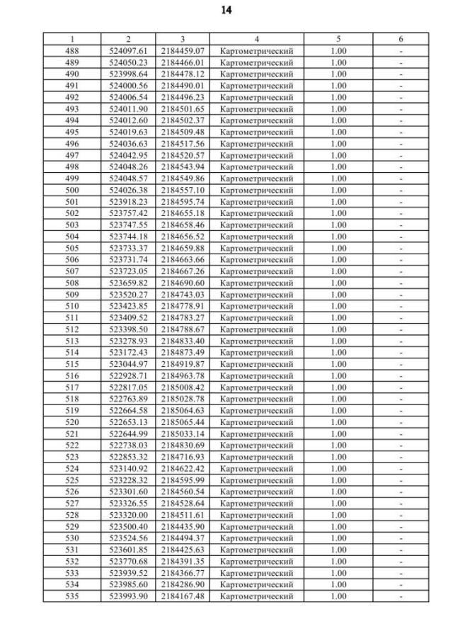
Страница №70 из 202:
Увеличить