Официальное опубликование правовых актов
ОФИЦИАЛЬНОЕ ОПУБЛИКОВАНИЕ
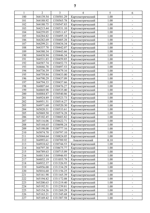
Приказ Департамента архитектуры и градостроительства Воронежской области от 04.06.2021 № 45-01-04/656
"Об утверждении правил землепользования и застройки Поповского сельского поселения Россошанского муниципального района Воронежской области"
(Зарегистрирован 21.06.2021 № 646)
Номер опубликования: 3601202106290004
Дата опубликования: 29.06.2021
Страница №62 из 223:
Увеличить