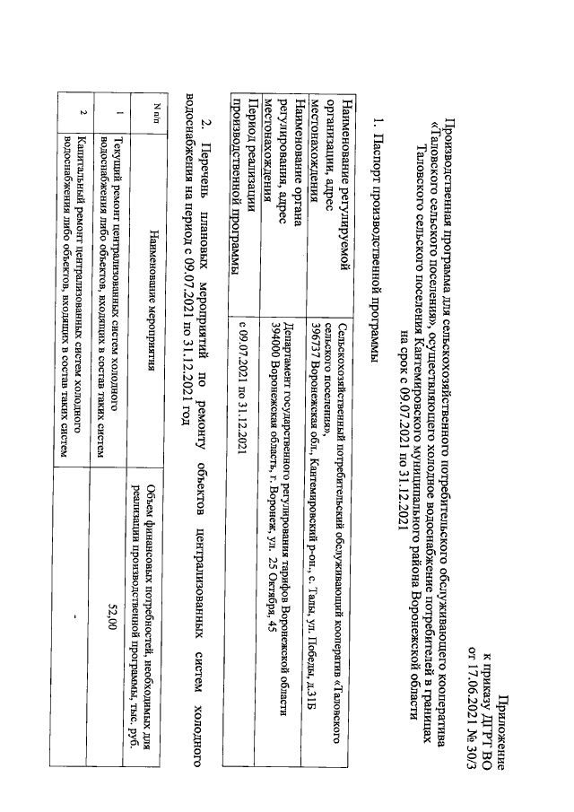
Приказ Департамента государственного регулирования тарифов Воронежской области от 17.06.2021 № 30/3
"Об установлении тарифов на питьевую воду (питьевое водоснабжение) для сельскохозяйственного потребительского обслуживающего кооператива "Таловского сельского поселения", осуществляющего холодное водоснабжение потребителей в границах Таловского сельского поселения Кантемировского муниципального района Воронежской области, на период с 09.07.2021 по 31.12.2021 год"
(Зарегистрирован 24.06.2021 № 559)
"Об установлении тарифов на питьевую воду (питьевое водоснабжение) для сельскохозяйственного потребительского обслуживающего кооператива "Таловского сельского поселения", осуществляющего холодное водоснабжение потребителей в границах Таловского сельского поселения Кантемировского муниципального района Воронежской области, на период с 09.07.2021 по 31.12.2021 год"
(Зарегистрирован 24.06.2021 № 559)
Номер опубликования: 3601202106250004
Дата опубликования:
25.06.2021
