Официальное опубликование правовых актов
ОФИЦИАЛЬНОЕ ОПУБЛИКОВАНИЕ
Приказ Департамента архитектуры и градостроительства Воронежской области от 02.06.2021 № 45-01-04/636
"Об утверждении правил землепользования и застройки Дьяченковского сельского поселения Богучарского муниципального района Воронежской области"
(Зарегистрирован 21.06.2021 № 543)
Номер опубликования: 3601202106240005
Дата опубликования: 24.06.2021
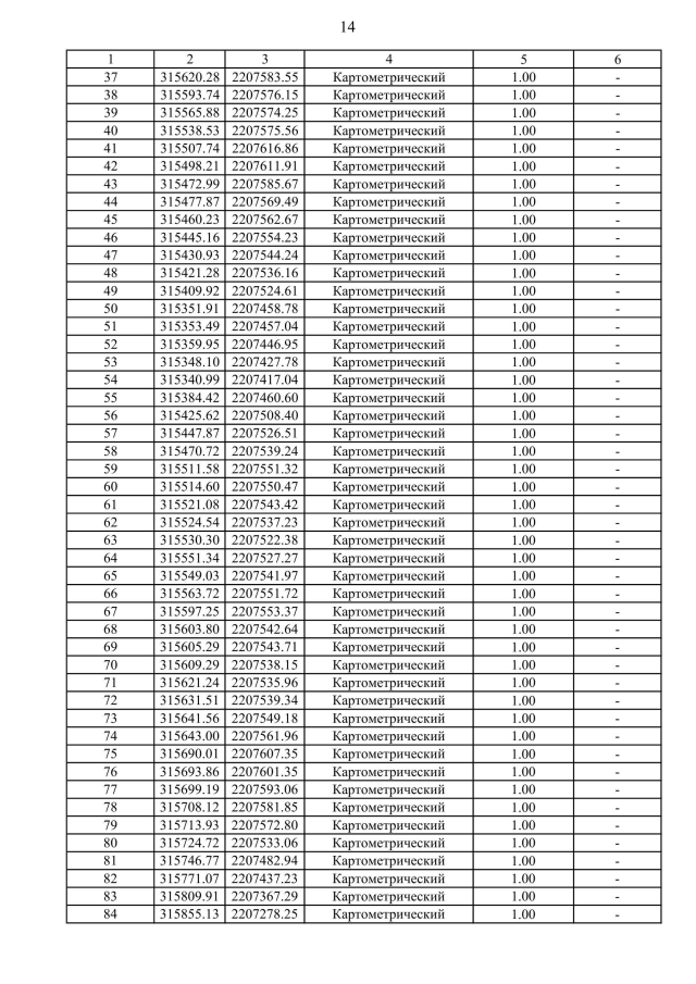
Страница №121 из 270:
Увеличить