Официальное опубликование правовых актов
ОФИЦИАЛЬНОЕ ОПУБЛИКОВАНИЕ
Приказ Департамента архитектуры и градостроительства Воронежской области от 14.05.2021 № 45-01-04/565
"Об утверждении правил землепользования и застройки Нижнедевицкого сельского поселения Нижнедевицкого муниципального района Воронежской области"
(Зарегистрирован 25.05.2021 № 481)
Номер опубликования: 3601202106020003
Дата опубликования: 02.06.2021
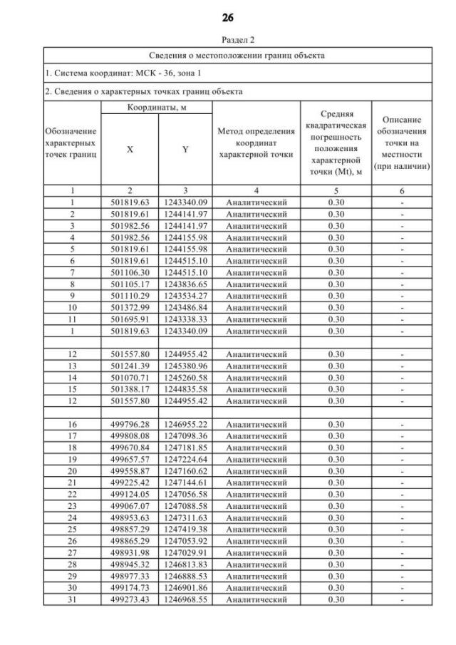
Страница №317 из 320:
Увеличить