Официальное опубликование правовых актов
ОФИЦИАЛЬНОЕ ОПУБЛИКОВАНИЕ
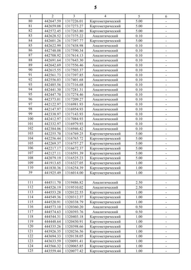
Приказ Департамента архитектуры и градостроительства Воронежской области от 11.05.2021 № 45-01-04/553
"Об утверждении правил землепользования и застройки Высокинского сельского поселения Лискинского муниципального района Воронежской области"
(Зарегистрирован 25.05.2021 № 480)
Номер опубликования: 3601202106020002
Дата опубликования: 02.06.2021
Страница №150 из 226:
Увеличить