Официальное опубликование правовых актов
ОФИЦИАЛЬНОЕ ОПУБЛИКОВАНИЕ
Приказ Департамента архитектуры и градостроительства Воронежской области от 12.05.2021 № 45-01-04/559
"Об утверждении правил землепользования и застройки Новобогородицкого сельского поселения Петропавловского муниципального района Воронежской области"
(Зарегистрирован 24.05.2021 № 467)
Номер опубликования: 3601202105270008
Дата опубликования: 27.05.2021
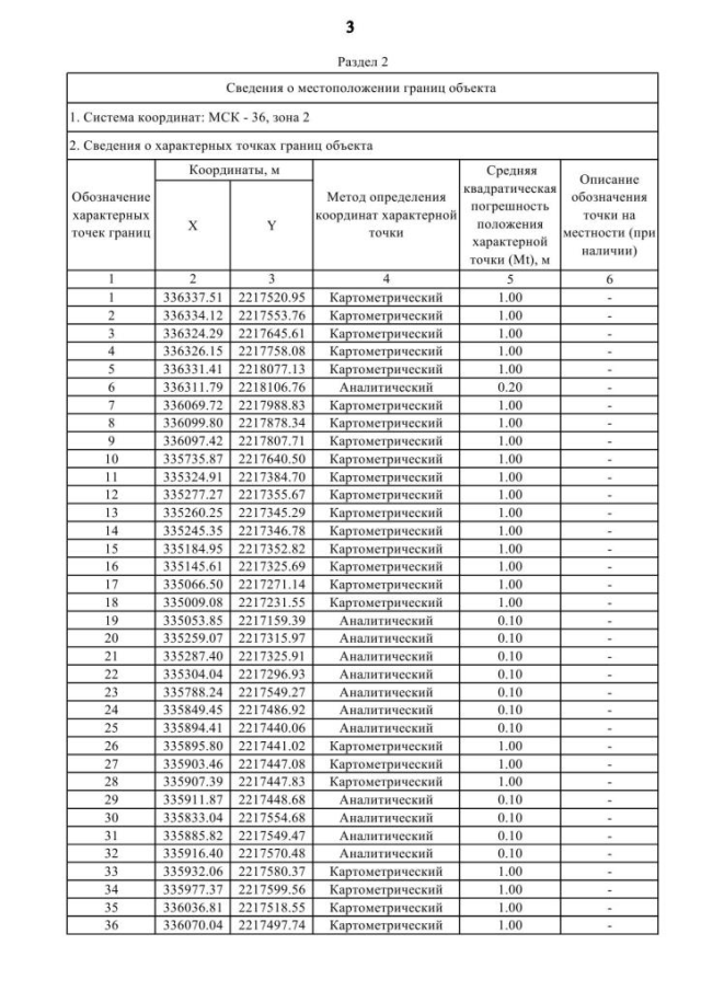
Страница №99 из 156:
Увеличить