Официальное опубликование правовых актов
ОФИЦИАЛЬНОЕ ОПУБЛИКОВАНИЕ
Приказ департамента природных ресурсов и экологии Воронежской области от 30.04.2021 № 225
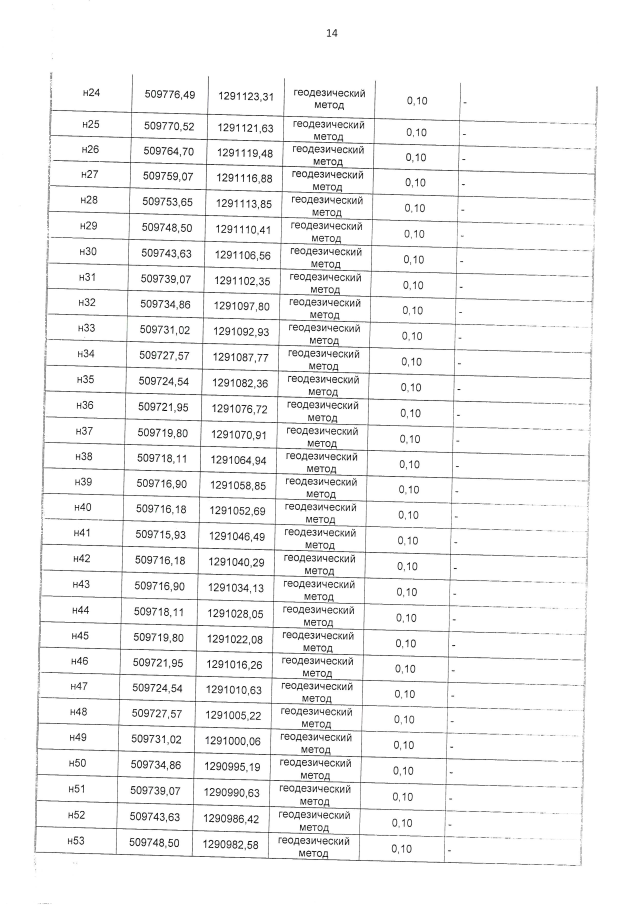
"Об установлении зоны санитарной охраны существующей скважины б/н для питьевого и хозяйственно-бытового водоснабжения МАУ "ЦДО "Перемена"
(Зарегистрирован 14.05.2021 № 415)
Номер опубликования: 3601202105200005
Дата опубликования: 20.05.2021
Страница №16 из 20:
Увеличить