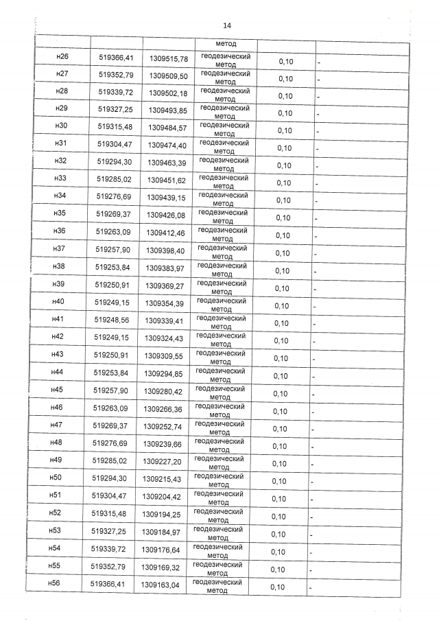
Приказ департамента природных ресурсов и экологии Воронежской области от 20.04.2021 № 191
"Об установлении зоны санитарной охраны существующей скважины №79133/2 для питьевого и хозяйственно-бытового водоснабжения МАУ ЦДО "Перемена"
(Зарегистрирован 11.05.2021 № 383)
"Об установлении зоны санитарной охраны существующей скважины №79133/2 для питьевого и хозяйственно-бытового водоснабжения МАУ ЦДО "Перемена"
(Зарегистрирован 11.05.2021 № 383)
Номер опубликования: 3601202105200004
Дата опубликования:
20.05.2021
