Официальное опубликование правовых актов
ОФИЦИАЛЬНОЕ ОПУБЛИКОВАНИЕ
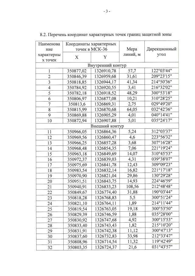
Приказ управления по охране объектов культурного наследия Воронежской области от 29.04.2021 № 71-01-07/164
"О внесении изменения в приказ управления по охране объектов культурного наследия Воронежской области от 28.11.2019 №71-01-07/326"
(Зарегистрирован 18.05.2021 № 428)
Номер опубликования: 3601202105180010
Дата опубликования: 18.05.2021
Страница №3 из 5:
Увеличить