Официальное опубликование правовых актов
ОФИЦИАЛЬНОЕ ОПУБЛИКОВАНИЕ
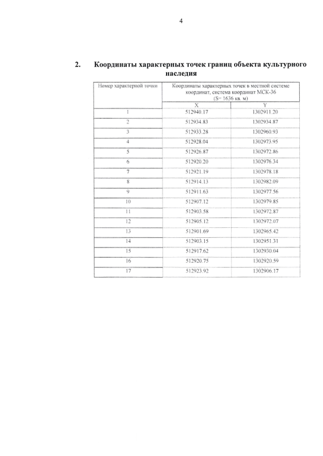
Приказ управления по охране объектов культурного наследия Воронежской области от 28.04.2021 № 71-01-07/157
"О включении выявленного объекта культурного наследия в единый государственный реестр объектов культурного наследия (памятников истории и культуры) народов Российской Федерации в качестве объекта культурного наследия регионального значения "Братская могила № 6"
(Зарегистрирован 13.05.2021 № 411)
Номер опубликования: 3601202105140008
Дата опубликования: 14.05.2021
Страница №4 из 4:
Увеличить