Официальное опубликование правовых актов
ОФИЦИАЛЬНОЕ ОПУБЛИКОВАНИЕ
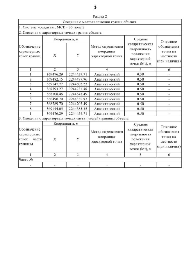
Приказ Департамента архитектуры и градостроительства Воронежской области от 27.04.2021 № 45-01-04/480
"Об утверждении правил землепользования и застройки Советского сельского поселения Калачеевского муниципального района Воронежской области"
(Зарегистрирован 11.05.2021 № 391)
Номер опубликования: 3601202105140001
Дата опубликования: 14.05.2021
Страница №73 из 79:
Увеличить