Официальное опубликование правовых актов
ОФИЦИАЛЬНОЕ ОПУБЛИКОВАНИЕ
Приказ Департамента архитектуры и градостроительства Воронежской области от 09.03.2021 № 45-01-04/191
"Об утверждении правил землепользования и застройки Кондрашкинского сельского поселения Каширского муниципального района Воронежской области"
(Зарегистрирован 22.03.2021 № 248)
Номер опубликования: 3601202103240009
Дата опубликования: 24.03.2021
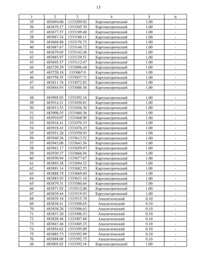
Страница №59 из 153:
Увеличить