Официальное опубликование правовых актов
ОФИЦИАЛЬНОЕ ОПУБЛИКОВАНИЕ
Приказ Департамента архитектуры и градостроительства Воронежской области от 11.02.2021 № 45-01-04/123
"Об утверждении правил землепользования и застройки Терновского сельского поселения Новохопёрского муниципального района Воронежской области"
(Зарегистрирован 25.02.2021 № 151)
Номер опубликования: 3601202103010001
Дата опубликования: 01.03.2021
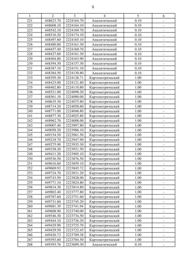
Страница №49 из 167:
Увеличить