Официальное опубликование правовых актов
ОФИЦИАЛЬНОЕ ОПУБЛИКОВАНИЕ
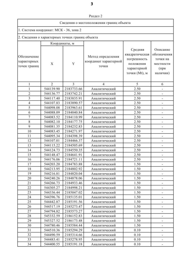
Приказ Департамента архитектуры и градостроительства Воронежской области от 28.01.2021 № 45-01-04/38
"Об утверждении правил землепользования и застройки Битюг-Матрёновского сельского поселения Эртильского муниципального района Воронежской области"
(Зарегистрирован 16.02.2021 № 110)
Номер опубликования: 3601202102250001
Дата опубликования: 25.02.2021
Страница №152 из 170:
Увеличить