Официальное опубликование правовых актов
ОФИЦИАЛЬНОЕ ОПУБЛИКОВАНИЕ
Приказ Департамента архитектуры и градостроительства Воронежской области от 24.11.2020 № 45-01-04/915
"Об утверждении правил землепользования и застройки Русско-Буйловского сельского поселения Павловского муниципального района Воронежской области"
(Зарегистрирован 11.12.2020 № 1185)
Номер опубликования: 3601202012150002
Дата опубликования: 15.12.2020
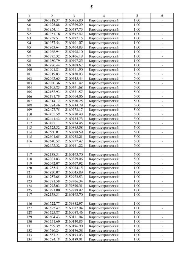
Страница №113 из 235:
Увеличить