Официальное опубликование правовых актов
ОФИЦИАЛЬНОЕ ОПУБЛИКОВАНИЕ
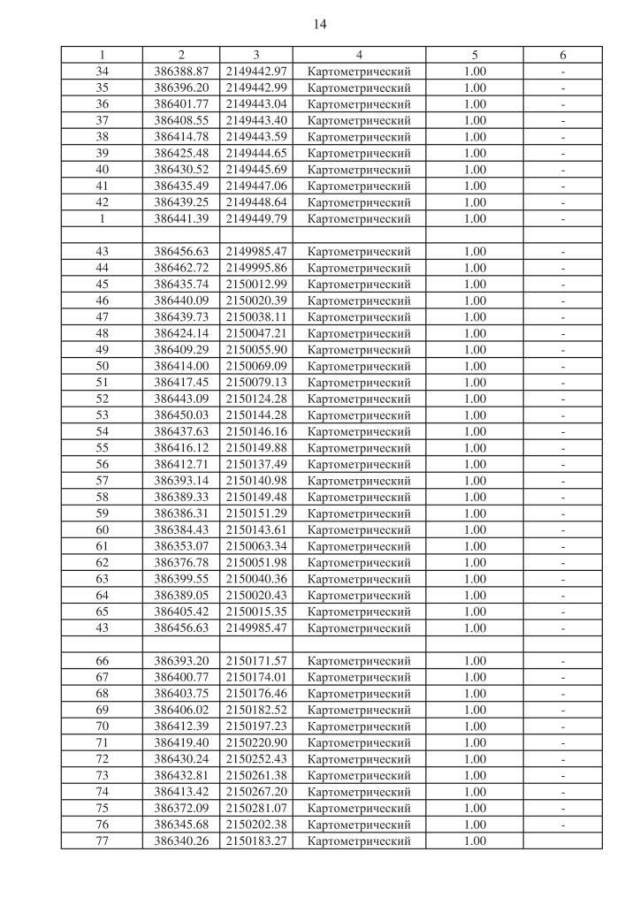
Приказ Департамента архитектуры и градостроительства Воронежской области от 22.09.2020 № 45-01-04/725
"Об утверждении правил землепользования и застройки Александро-Донского сельского поселения Павловского муниципального района Воронежской области"
(Зарегистрирован 29.09.2020 № 774)
Номер опубликования: 3601202010020002
Дата опубликования: 02.10.2020
Страница №67 из 300:
Увеличить