Официальное опубликование правовых актов
ОФИЦИАЛЬНОЕ ОПУБЛИКОВАНИЕ
Приказ Департамента архитектуры и градостроительства Воронежской области от 06.08.2020 № 45-01-04/593
"Об утверждении правил землепользования и застройки Нижнеикорецкого сельского поселения Лискинского муниципального района Воронежской области"
(Зарегистрирован 17.08.2020 № 635)
Номер опубликования: 3601202008240005
Дата опубликования: 24.08.2020
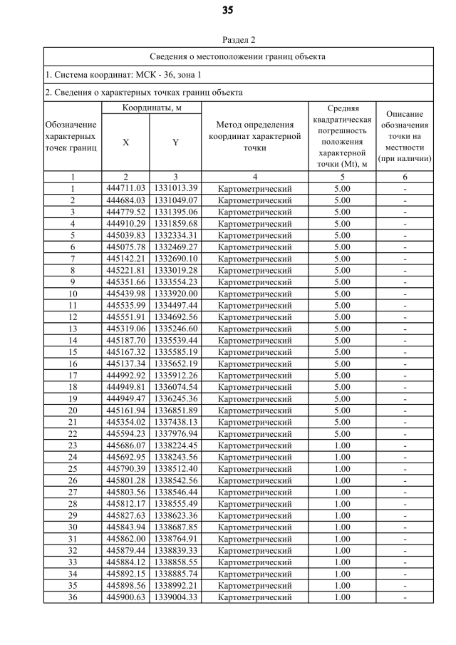
Страница №190 из 231:
Увеличить