Официальное опубликование правовых актов
ОФИЦИАЛЬНОЕ ОПУБЛИКОВАНИЕ
Приказ Департамента архитектуры и градостроительства Воронежской области от 07.08.2020 № 45-01-04/597
"Об утверждении правил землепользования и застройки Cемидесятского сельского поселения Хохольского муниципального района Воронежской области"
(Зарегистрирован 17.08.2020 № 636)
Номер опубликования: 3601202008240004
Дата опубликования: 24.08.2020
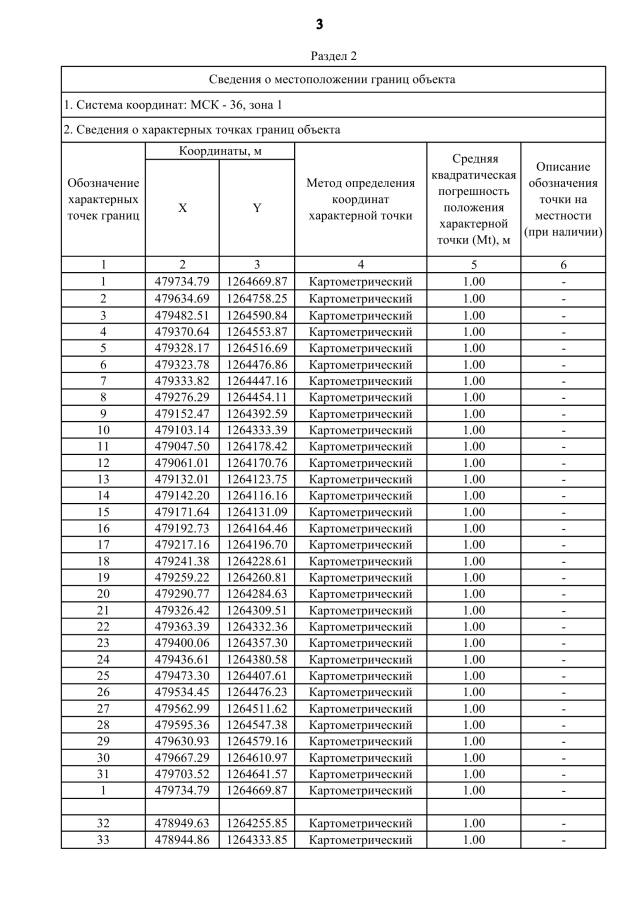
Страница №48 из 131:
Увеличить