Официальное опубликование правовых актов
ОФИЦИАЛЬНОЕ ОПУБЛИКОВАНИЕ
Приказ Департамента архитектуры и градостроительства Воронежской области от 06.08.2020 № 45-01-04/591
"Об утверждении правил землепользования и застройки Бодеевского сельского поселения Лискинского муниципального района Воронежской области"
(Зарегистрирован 17.08.2020 № 630)
Номер опубликования: 3601202008200002
Дата опубликования: 20.08.2020
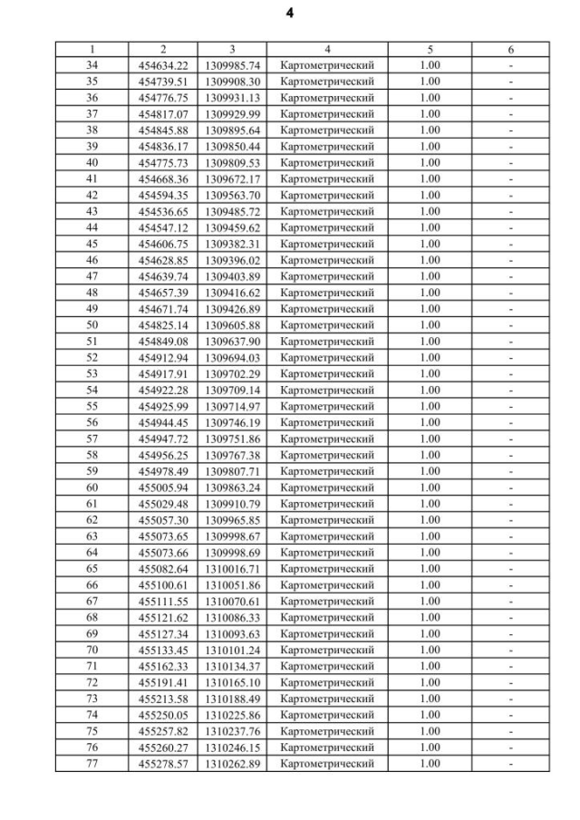
Страница №80 из 154:
Увеличить