Официальное опубликование правовых актов
ОФИЦИАЛЬНОЕ ОПУБЛИКОВАНИЕ
Приказ Департамента архитектуры и градостроительства Воронежской области от 29.06.2020 № 45-01-04/499
"Об утверждении правил землепользования и застройки Костёнского сельского поселения Хохольского муниципального района Воронежской области"
(Зарегистрирован 08.07.2020 № 516)
Номер опубликования: 3601202007150011
Дата опубликования: 15.07.2020
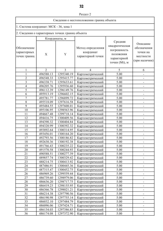
Страница №190 из 199:
Увеличить