Официальное опубликование правовых актов
ОФИЦИАЛЬНОЕ ОПУБЛИКОВАНИЕ
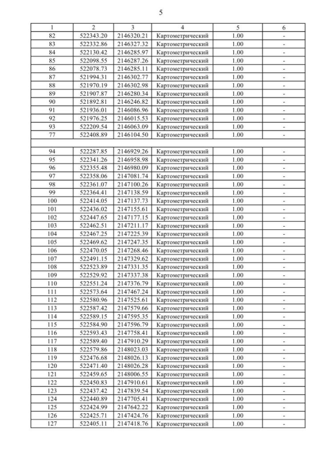
Приказ Департамента архитектуры и градостроительства Воронежской области от 29.06.2020 № 45-01-04/502
"Об утверждении правил землепользования и застройки Дмитриевского сельского поселения Панинского муниципального района Воронежской области"
(Зарегистрирован 08.07.2020 № 517)
Номер опубликования: 3601202007150001
Дата опубликования: 15.07.2020
Страница №98 из 206:
Увеличить