Официальное опубликование правовых актов
ОФИЦИАЛЬНОЕ ОПУБЛИКОВАНИЕ
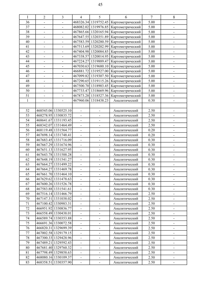
Приказ Департамента архитектуры и градостроительства Воронежской области от 05.06.2020 № 45-01-04/411
"Об утверждении правил землепользования и застройки Тресоруковского сельского поселения Лискинского муниципального района Воронежской области"
(Зарегистрирован 16.06.2020 № 416)
Номер опубликования: 3601202006190001
Дата опубликования: 19.06.2020
Страница №255 из 270:
Увеличить