Приказ управления по охране объектов культурного наследия Воронежской области от 04.12.2019 № 71-01-07/338
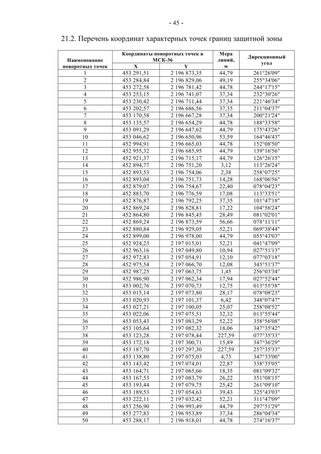
"Об утверждении графического описания местоположения границ (с перечнем координат характерных точек этих границ) защитных зон объектов культурного наследия, расположенных на территории Воронежской области"
(Зарегистрирован 16.12.2019 № 1272)
"Об утверждении графического описания местоположения границ (с перечнем координат характерных точек этих границ) защитных зон объектов культурного наследия, расположенных на территории Воронежской области"
(Зарегистрирован 16.12.2019 № 1272)
Номер опубликования: 3601201912190051
Дата опубликования:
19.12.2019
