Официальное опубликование правовых актов
ОФИЦИАЛЬНОЕ ОПУБЛИКОВАНИЕ
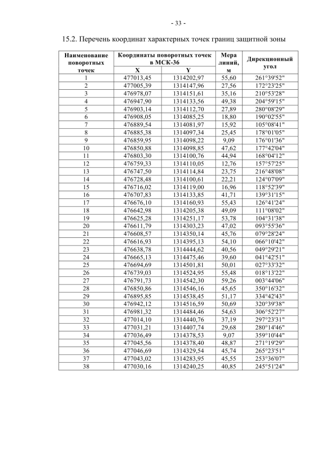
Приказ управления по охране объектов культурного наследия Воронежской области от 04.12.2019 № 71-01-07/338
"Об утверждении графического описания местоположения границ (с перечнем координат характерных точек этих границ) защитных зон объектов культурного наследия, расположенных на территории Воронежской области"
(Зарегистрирован 16.12.2019 № 1272)
Номер опубликования: 3601201912190051
Дата опубликования: 19.12.2019
Страница №33 из 90:
Увеличить