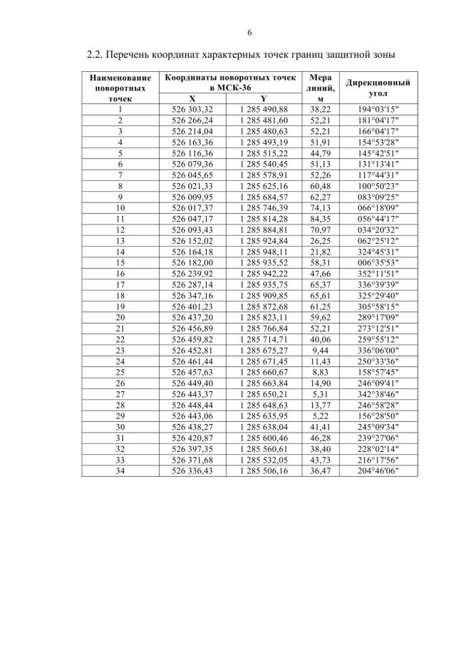
Приказ управления по охране объектов культурного наследия Воронежской области от 19.11.2019 № 71-01-07/298
"Об утверждении графического описания местоположения границ (с перечнем координат характерных точек этих границ) защитных зон объектов культурного наследия, расположенных на территории Воронежской области"
(Зарегистрирован 28.11.2019 № 906)
"Об утверждении графического описания местоположения границ (с перечнем координат характерных точек этих границ) защитных зон объектов культурного наследия, расположенных на территории Воронежской области"
(Зарегистрирован 28.11.2019 № 906)
Номер опубликования: 3601201911290003
Дата опубликования:
29.11.2019
