Официальное опубликование правовых актов
ОФИЦИАЛЬНОЕ ОПУБЛИКОВАНИЕ
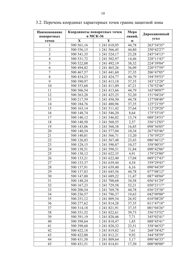
Приказ управления по охране объектов культурного наследия Воронежской области от 11.11.2019 № 71-01-07/278
"Об утверждении графического описания местоположения границ (с перечнем координат характерных точек этих границ) защитных зон объектов культурного наследия, расположенных на территории Воронежской области"
(Зарегистрирован 18.11.2019 № 795)
Номер опубликования: 3601201911200004
Дата опубликования: 20.11.2019
Страница №10 из 79:
Увеличить