Официальное опубликование правовых актов
ОФИЦИАЛЬНОЕ ОПУБЛИКОВАНИЕ
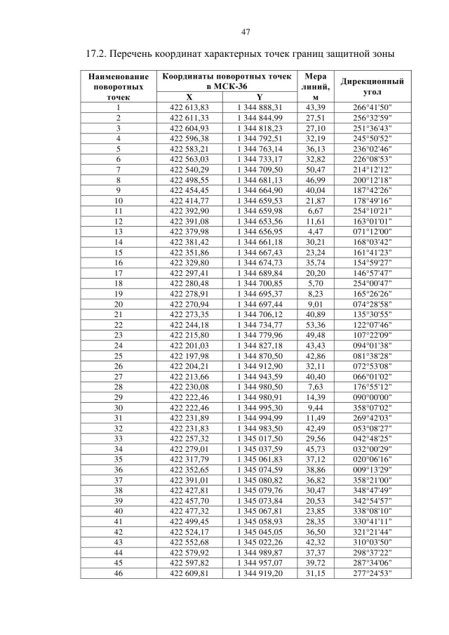
Приказ управления по охране объектов культурного наследия Воронежской области от 06.11.2019 № 71-01-07/267
"Об утверждении графического описания местоположения границ (с перечнем координат характерных точек этих границ) защитных зон объектов культурного наследия, расположенных на территории Воронежской области"
(Зарегистрирован 14.11.2019 № 782)
Номер опубликования: 3601201911200001
Дата опубликования: 20.11.2019
Страница №47 из 97:
Увеличить