Приказ управления по охране объектов культурного наследия Воронежской области от 10.09.2019 № 71-01-07/219
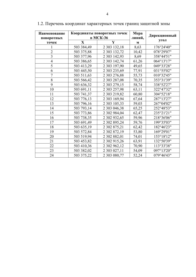
"Об утверждении графического описания местоположения границ (с перечнем координат характерных точек этих границ) защитных зон объектов культурного наследия, расположенных на территории Воронежской области"
(Зарегистрирован 23.09.2019 № 646)
"Об утверждении графического описания местоположения границ (с перечнем координат характерных точек этих границ) защитных зон объектов культурного наследия, расположенных на территории Воронежской области"
(Зарегистрирован 23.09.2019 № 646)
Номер опубликования: 3601201909250003
Дата опубликования:
25.09.2019
