Официальное опубликование правовых актов
ОФИЦИАЛЬНОЕ ОПУБЛИКОВАНИЕ
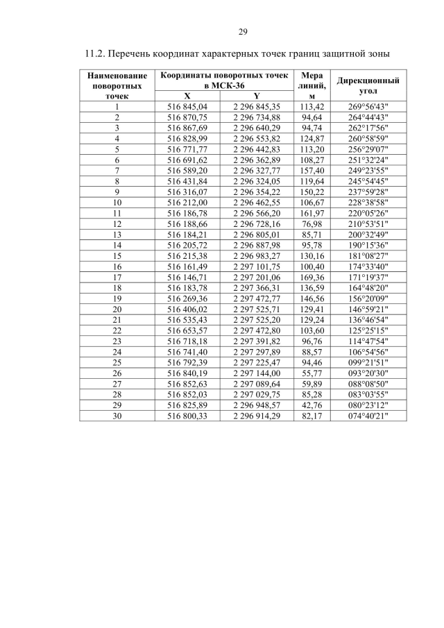
Приказ управления по охране объектов культурного наследия Воронежской области от 10.09.2019 № 71-01-07/219
"Об утверждении графического описания местоположения границ (с перечнем координат характерных точек этих границ) защитных зон объектов культурного наследия, расположенных на территории Воронежской области"
(Зарегистрирован 23.09.2019 № 646)
Номер опубликования: 3601201909250003
Дата опубликования: 25.09.2019
Страница №29 из 70:
Увеличить