Официальное опубликование правовых актов
ОФИЦИАЛЬНОЕ ОПУБЛИКОВАНИЕ
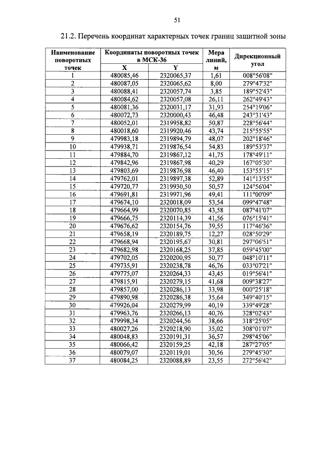
Приказ управления по охране объектов культурного наследия Воронежской области от 13.08.2019 № 71-01-07/201
"Об утверждении графического описания местоположения границ (с перечнем координат характерных точек этих границ) защитных зон объектов культурного наследия, расположенных на территории Воронежской области"
(Зарегистрирован 26.08.2019 № 579)
Номер опубликования: 3601201908270004
Дата опубликования: 27.08.2019
Страница №51 из 98:
Увеличить